不是VIP会员,不能显示答案

1981 【18NOIP普及组】对称二叉树

时间限制: 1000 ms 内存限制: 262144 KB
题目描述:

一棵有点权的有根树如果满足以下条件,则被轩轩称为对称二叉树:

1.二叉树;

2.将这棵树所有节点的左右子树交换,新树和原树对应位置的结构相同且点权相等。

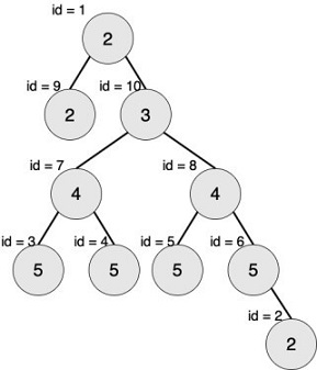
下图中节点内的数字为权值,节点外的$id$表示节点编号。

现在给出一棵二叉树,希望你找出它的一棵子树,该子树为对称二叉树,且节点数最多。请输出这棵子树的节点数。

注意:只有树根的树也是对称二叉树。本题中约定,以节点T为子树根的一棵“子树”指的是:节点T 和它的全部后代节点构成的二叉树。

输入:

第一行一个正整数$n$,表示给定的树的节点的数目,规定节点编号$1\sim n$,其中节点$1$是树根。

第二行$n$个正整数,用一个空格分隔,第$i$个正整数$v_i$代表节点$i$的权值。

接下来$n$行,每行两个正整数$l_i,r_i$,分别表示节点$i$的左右孩子的编号。如果不存在左/右孩子,则以$−1$表示。两个数之间用一个空格隔开。

输出:

输出共一行,包含一个整数,表示给定的树的最大对称二叉子树的节点数。

样例输入:
2
1 3
2 -1
-1 -1
样例输出:
1
提示:

【样例1说明】

最大的对称二叉子树为以节点 $2$ 为树根的子树,节点数为 $1$。

【样例输入2】

10 
2 2 5 5 5 5 4 4 2 3 
9 10 
-1 -1 
-1 -1 
-1 -1 
-1 -1 
-1 2 
3 4 
5 6 
-1 -1 
7 8

【样例输出2】

3

【样例2说明】

最大的对称二叉子树为以节点 $7$ 为树根的子树,节点数为 $3$。

【数据规模与约定】

共 $25$ 个测试点。

$v_i≤1000$。

测试点 $1-3$,$n≤10$,保证根结点的左子树所有节都没右孩子,根结点的右孩子,根结点的右子树的所有节点 都没有左孩子。

测试点 $4-8$,$n≤10$。

测试点 $9-12$,$n≤10^5$,保证输入是一棵 “满二叉树 ”。

测试点 $13-16$,$n≤10^5$,保证输入是一棵 “完全二叉树 ”。

测试点 $17-20$,$n≤10^5$,保证输入的树点权均为 $1$。

测试点 $21-25$,$n≤10^6$。

本题约定:

层次:节点的层次从根开始定义起,根为第一层,根的孩子为第二层。树中任一节点的层次等于其父亲节点的层次加$1$。

树的深度:树中节点的最大层次称为树的深度。

满二叉树:设二叉树的深度为$h$,且二叉树有$2h−1$个节点,这就是满二叉树。

满二叉树(深度为 3)

完全二叉树:设二叉树的深度为h,除第h层外,其它各层的结点数都达到最大个数,第h层所有的结点都连续集中在最左边,这就是完全二叉树。

完全二叉树(深度为 3)完全二叉树(深度为 3)
来源: No
解答: No